相关矿山企业:
根据《国土资源部办公厅关于全国矿业权统一配号系统数据库清理有关事项的通知》(国土资厅函[2016]2010号)和《山西省国土资源厅办公室关于转发<国土资源部办公厅关于全国矿业权统一配号系统数据库清理有关事项的通知>的通知》(晋国土资办发[2017]4号)文件精神,为进一步提高全国矿业权登记数据的准确性和时效性,国土资源部统一对矿业权登记过期数据进行清理。为全面做好我区矿业权数据库清理工作,现将有关清理事项公告如下:
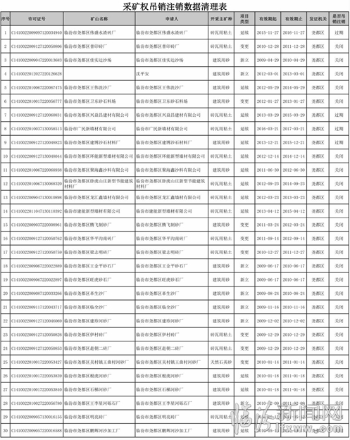
一、清理范围:由区级国土资源部门进行采矿登记,采矿许可证已超出有效期限的砖瓦粘土和河砂采矿权。
二、本公告下发之日前,采矿许可证已超出有效期限的上述采矿权,全部列入此次清理范围。在本公告下发30日内,向尧都区国土资源局提交注销申请,并履行相关土地复垦、矿山地质环境恢复治理等义务,由尧都区国土资源局组织对矿业权进行注销。
三、按照国土资源部划分的时段要求,在本公告下发30日后,逾期未提出注销申请的,尧都区国土资源局将依据相关法律法规,进行非申请注销。
四、相关矿山企业要积极配合,主动申请、履行相关义务提供相应的注销资料,以保障我区矿业权数据清理工作顺利完成。
特此公告
尧都区国土资源局
2017年7月19日



责任编辑: 吉政